-
-
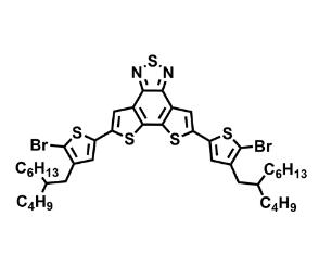
5,8-雙(5-溴-4-(2-丁基辛基)噻吩基)二噻吩并[3',2':3,4;2'',3'':5,6]苯并[1,2-c][1,2,5]噻二唑 | 2433725-51-8
CAS編號:2433725-51-8分子式:C42H54Br2N2S5 -
二-叔丁基 2,2'-(1,4-二氧-3,6-二(噻吩-2-基)吡咯并[3,4-C]吡咯-2,5(1H,4H)-二基)二醋酸酯 | 1669409-50-0
CAS編號:1669409-50-0分子式:C26H28N2O6S2 -
12,13-二氫-12,13-雙(2-辛基十二烷基)-3,9-雙十一烷基二噻吩并[2′′,3′′:4′,5′]噻吩并[2′,3′:4,5]吡咯并[3,2-e:2′,3′-g][2,1,3]苯并噻二唑-
CAS編號:2599837-57-5分子式:C82H130N4O2S5 -
-
-
-
-
-
-
-
-
-
-
4,9-雙(5-(9,9-雙(6-溴己基)-9H-芴-2-基)噻吩基)-6,7-雙(4-己氧基)苯基)-[1,2,5]噻二唑[3,4-G]喹喔啉 |
CAS編號:2411364-28-6分子式:C90H100Br4N4O2S3 -
-
-
2,6-二溴-4,8-雙(4-氯-5-(2-乙基己基)噻吩基)苯并[1,2-B:4,5-B']二噻吩 | 2489562-49-2
CAS編號:2489562-49-2分子式:C34H38Br2Cl2S4 -
-
-
4,4'-(5,6,12,13-四氯-1,3,8,10-四氧嘧啶[2,1,9-DEF:6,5,10-D'E'F']二 異喹啉-2,9(1H,3H,8H,10H)-二基)二苯甲酸 | 11039
CAS編號:1103906-42-8分子式:C38H14Cl4N2O8 -
(4,8-二(4-氯-5-(2-丁基辛基)噻吩-2-基)苯并[1,2-B:4,5-B']二噻吩-2,6-二基)雙三甲基錫 |
CAS編號:2376193-84-7分子式:C48H72Cl2S4Sn2 -
3,3'-雙(2-(2-(2-甲氧基乙氧基)乙氧基)乙氧基)-[2,2'-聯(lián)噻吩]-5,5'-二基)雙(三甲基錫) | 1636120-19-8
CAS編號:1636120-19-8分子式:C28H50O8S2Sn2 -
4,7-雙(5-溴-4-(2-乙基己基)噻吩基)-5,6-二氟-2-(2-己基癸基)-2H-苯并[d][1,2,3]三氮唑 | 2239298-37-2
CAS編號:2239298-37-2分子式:C46H69Br2F2N3S2 -
-
-